티스토리 뷰
Maxwell's Equation - Gauss's Theorem for Magnetic Field
bizmaker 2024. 11. 7. 06:30
가우스의 자계 법칙(Gauss's Law for Magnetism)은 자기에 대한 가우스의 정리를 의미한다.
이 법칙도 가우스의 전계 법칙과 함께 맥스웰 방정식 중 하나로 포함돼 있으며,
자기장의 특성을 설명하는 기본 원리이다.

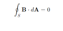
가우스이 자계 법칙은 위 식과 같이 표현되며,
여기서 B는 자속 밀도(Magnetic flux density)를 의미하고
A는 폐곡면의 면적을 의미한다.
이 법칙을 말로써 설명하면,
"어떤 폐곡면을 통과하는 자기장의 순 플럭스는 항상 0이다" 이다.
이는 자기장이 전기장과 달리 '자기 단극'(magnetic monopole)이 존재하지 않음을 의미한다.
다른 말로 표현하면, 전기장을 일으키는 전하처럼(양전하와 음전하가 각각 존재함) 'N극'이나 'S극'이 독립적으로 존재하는 것이 아니라,
항상 쌍으로 존재한다는 것을 나타낸다.
이는 자석을 아무리 작게 잘라낸다 하더라도 N극과 S극을 따로 분리할 수 없다는 뜻이다.
만약 양전하가 있다면, 그것의 전기장은 바깥쪽으로 뻗어나가는 형상을 띠며,
이는 시작점이 양전하이고 끝점이 무한대의 먼 곳임을 의미한다.
만약 음전하가 있다면, 그것의 전기장은 안쪽으로 모여드는 형상을 띤다.
자기장은 시작점과 끝점이 존재하지 않고 폐곡선의 형태로 존재하게 된다.
[기원]
이 법칙은 가우스가 직접 실험이나 관찰을 통해 발견한 것이 아니라,
자기장에 대한 물리적인 사실들을 수학적으로 체계화하는 과정에서 도출된 결과이다.
물론, 가우스의 자계 법칙은 가우스가 직접 도출한 것은 아니다.
가우스가 발견한 것은 전기장에 관한 법칙이고 맥스웰 방정식 이후 과학자들이 맥스웰 방정식을 정리하면서
가우스의 전기장 법칙을 응용하여 가우스의 자계 법칙을 완성했고,
이 과정에서 가우스의 업적을 기리고자 가우스의 자계 법칙이라고 명명하게 됐다고 한다.
자기장에 대한 기초 이론을 닦은 과학자로는
지구가 거대한 자석과 같다는 이론을 제시한 윌리엄 길버터(Willam Gilbert, 1544~1603)와
전류가 자기장을 생성한다는 것을 발견한 한스 크리스티앙 외르스테드(Chans Christian Orsted, 1777~1851)와
전류와 자기장 사이의 수학적으로 해석을 발전시킨 앙드레 마리 앙페르(Andre Marie Ampere, 1777~1836) 등이 있다.
가우스가 확립한 것은 벡터 필드와 다이버전스(divergence) 정리를 이용한 전기장 법칙의 수학적 이론이었다.
'InfoDesk > Science' 카테고리의 다른 글
| Maxwell's Equation - Differential Form vs. Integral Form (1) | 2024.11.11 |
|---|---|
| Maxwell's Equation - Faraday's Law (0) | 2024.11.08 |
| Permittivity vs. Permeability (0) | 2024.11.06 |
| Electric Field vs. Electric Flux (2) | 2024.11.05 |
| Maxwell's Equation - Gauss's Theorem for Electric Field (0) | 2024.11.04 |
- Total
- Today
- Yesterday
- 둎
- arduino
- 배프
- 혁신
- 티스토리챌린지
- ServantClock
- Innovations
- 절연형
- 혁신과허들
- 심심풀이
- 전압
- 전류
- 심심풀이치매방지기
- Innovation&Hurdles
- BiliChild
- 허들
- 치매
- 아두이노
- Decorator
- DYOV
- 빌리언트
- Video
- 빌리칠드
- BSC
- Hurdles
- 치매방지
- Innovations&Hurdles
- image
- 오블완
- bilient
| 일 | 월 | 화 | 수 | 목 | 금 | 토 |
|---|---|---|---|---|---|---|
| 1 | 2 | 3 | ||||
| 4 | 5 | 6 | 7 | 8 | 9 | 10 |
| 11 | 12 | 13 | 14 | 15 | 16 | 17 |
| 18 | 19 | 20 | 21 | 22 | 23 | 24 |
| 25 | 26 | 27 | 28 | 29 | 30 | 31 |

