티스토리 뷰
활성화 함수(Activation Function)는 인공지능, 특히 신경망에서 입력 신호를 비선형 변환하여 다음 계층으로 전달하는 역할을 한다. 이를 통해 인공지능 모델이 복잡한 비선형 관계를 학습할 수 있게 한다.
활성화 함수는 신경망의 성능과 학습 능력에 큰 영향을 미치므로, 각각의 활성화 함수의 특징을 이해할 필요가 있겠다.
[활성화 함수 종류]
- 계단 함수(Step Function)
- 시그모이드 함수(Sigmoid Function)
- 하이퍼볼릭 탄젠트 함수(Tanh Function)
- ReLU(Rectified Linear Unit) 함수
- Leaky Relu 함수
- 소프트 맥스 함수(Softmax Function)
- GELU(Gaussian Error Linear Unit) 함수
[계단 함수(Step Function)]
- 의의 및 의미:
- 입력이 특정 임계값을 초과하면 1을 출력, 그렇지 않으면 0을 출력하는 함수.
- 초기 퍼셉트론 모델에서 사용됨.
- 특징:
- 출력이 이진값(0 또는 1)으로 단순함.
- 비선형 특성이 있으나, 기울기 정보가 제공되지 않아 **역전파(Backpropagation)**에서 사용이 어렵다.
- 활용 방법:
- 현재는 거의 사용되지 않으며, 대신 다른 활성화 함수로 대체됨.

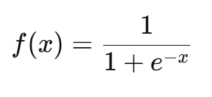
[시그모이드 함수(Sigmoid Function)]
- 의의 및 의미:
- 입력 값을 [0, 1] 사이로 변환하여 확률적 해석이 가능.
- 초기 신경망에서 널리 사용되었던 활성화 함수.
- 특징:
- 출력 범위: (0, 1).
- 장점: 출력값이 확률처럼 해석 가능.
- 단점:
- 기울기 소실 문제: 입력 값이 크거나 작을 경우, 기울기가 매우 작아져 학습이 느려짐.
- 계산 비용이 비싸다.
- 활용 방법:
- 로지스틱 회귀나 출력이 확률 값이어야 하는 문제에서 사용.
- 현재는 숨겨진 계층에서는 거의 사용되지 않음.

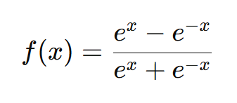
[하이퍼볼릭 탄젠트 함수(Tanh Function)]
- 의의 및 의미:
- 시그모이드의 변형으로, 값을 [-1, 1]로 정규화하여 입력의 중심을 0으로 이동.
- 특징:
- 출력 범위: (-1, 1).
- 장점:
- 출력값이 음수 및 양수를 모두 포함하므로 시그모이드보다 학습이 더 빠름.
- 데이터의 평균을 0으로 중심화 가능.
- 단점:
- 여전히 기울기 소실 문제가 발생.
- 활용 방법:
- 순환신경망(RNN) 등에서 사용되었으나, ReLU로 대체되는 경우가 많음.

[ReLU(Rectified Linear Unit) 함수]
- 의의 및 의미:
- 현재 딥러닝 모델에서 가장 널리 사용되는 활성화 함수로, 간단하면서도 성능이 우수.
- 특징:
- 출력 범위: [0, ∞).
- 장점:
- 계산이 간단하고 빠름.
- 기울기 소실 문제가 줄어듦.
- 단점:
- 죽은 ReLU 문제: 입력이 음수일 경우 기울기가 0이 되어 뉴런이 비활성화될 수 있음.
- 활용 방법:
- CNN, RNN 등 대부분의 딥러닝 모델에서 기본 활성화 함수로 사용.

[Leaky Relu 함수]
- 의의 및 의미:
- ReLU의 변형으로, 죽은 ReLU 문제를 완화.
- 특징:
- 출력 범위: (-∞, ∞).
- 음수 영역에서도 작은 기울기를 제공.
- 활용 방법:
- 죽은 ReLU 문제를 피하고자 일부 네트워크에서 사용.

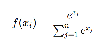
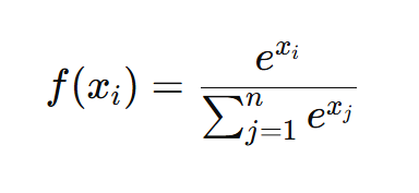
[소프트 맥스 함수(Softmax Function)]
- 의의 및 의미:
- 다중 클래스 분류 문제에서 출력층에 사용.
- 입력값을 확률 분포로 변환.
- 특징:
- 출력 범위: [0, 1].
- 모든 출력의 합이 1로 정규화.
- 활용 방법:
- 다중 클래스 분류 모델에서 출력층에 사용.

[GELU(Gaussian Error Linear Unit) 함수]
- 의의 및 의미:
- ReLU와 비슷하지만 Gaussian 분포를 적용하여 더 매끄러운 비선형성을 제공.
- 특징:
- 최신 Transformer 모델(BERT 등)에서 사용.
- 활용 방법:
- NLP와 같은 고차원 데이터 모델링에서 점점 더 많이 사용됨.

[활성화 함수 선택 기준]
- 출력 해석:
- 확률: Sigmoid, Softmax.
- 회귀 문제: ReLU, Tanh.
- 계층 위치:
- 은닉층: ReLU, Leaky ReLU.
- 출력층: Sigmoid(이진 분류), Softmax(다중 분류), 없음(회귀).
- 문제 특성:
- 딥러닝: ReLU 기반 함수 선호.
- 순환 신경망: Tanh, Sigmoid.
반응형
'SWDesk > ArtificialIntelligence' 카테고리의 다른 글
| 선형회귀 알고리즘과 동일한 기능을 수행하는 신경망 예시 코드 (0) | 2024.11.29 |
|---|---|
| CNN 계층 설정 사례 (0) | 2024.11.28 |
| 파이썬에서 CNN 모델 정의 방법 예시 (0) | 2024.11.26 |
| 확률적 경사 하강법(SGD) 함수 사용법 (0) | 2024.11.25 |
| *합성곱 신경망(Convolutional Neural Netwrok) 기본 이론 (0) | 2024.11.23 |
반응형
250x250
최근에 올라온 글
최근에 달린 댓글
- Total
- Today
- Yesterday
링크
TAG
- 전류
- DYOV
- Innovation&Hurdles
- 치매
- 심심풀이치매방지기
- Innovations
- Decorator
- 심심풀이
- 아두이노
- 티스토리챌린지
- Hurdles
- 배프
- 빌리칠드
- 빌리언트
- 혁신
- BSC
- 오블완
- Innovations&Hurdles
- ServantClock
- BiliChild
- 혁신과허들
- 둎
- arduino
- image
- 전압
- 치매방지
- 절연형
- Video
- bilient
- 허들
| 일 | 월 | 화 | 수 | 목 | 금 | 토 |
|---|---|---|---|---|---|---|
| 1 | 2 | 3 | ||||
| 4 | 5 | 6 | 7 | 8 | 9 | 10 |
| 11 | 12 | 13 | 14 | 15 | 16 | 17 |
| 18 | 19 | 20 | 21 | 22 | 23 | 24 |
| 25 | 26 | 27 | 28 | 29 | 30 | 31 |
글 보관함

